Information source
What I Mean by “Information”
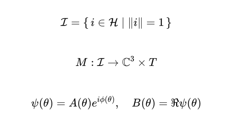
In this project, “information” is not a buzzword. I treat it as a structured state that can, in principle, be encoded, transmitted and reconstructed. Formally, I think of information as a normalized state in an abstract state space (a Hilbert-like space), and what we call “reality” as a projection of these states into physical space.
In simple terms: there is a space of possible states, and there is a way these states become “visible” to us as matter, fields and measurements.
Real Space vs Complex Space
Most physical measurements live in the real numbers: a voltage, a magnetic field reading, a frequency. But waves, interference and phase are naturally described in the complex plane ℂ, where every state has a magnitude and a phase.
My working assumption is:
– what we observe lives in ℝ (real space),
– but the full dynamics lives in ℂ (complex space),
– and measurement is a projection from ℂ to ℝ.
The “imaginary” part is not mystical. It simply encodes what cannot be seen directly in a single reading: hidden phase, correlations, and the structure that only appears when you look across many cycles or many events.
Phase as the Core of Change
In the background I have in mind the same kind of structure that appears in Berry phase: a state living over a space of parameters, with a non-trivial geometry and holonomy. Here I am not trying to copy the formalism, but to use the idea that what we measure is a projection of something fibred over a deeper phase space.
Instead of treating phase as a cosmetic parameter of a wave, I treat it as primary. A phase change is a change of state. When a system passes through a special configuration (a node, or zero point), phase can flip, and the way energy propagates can change direction or channel.
In this view:
– a “process” is a continuous evolution of phase in complex space,
– a “measurement” is a discrete sample of that process on the real axis,
– what we call “now” is already an artefact – the process itself is always ahead of what we can write down.
Information, Induction and Resonance
When two systems interact, I describe it as inductive coupling of phase structures. Information is not a separate substance; it is the pattern in the way phases align, cancel, reinforce or shift.
Resonance is the special case where:
– the internal phase structure of a system matches the external field,
– small inputs can produce large, coherent responses,
– the system effectively “locks” to a phase pattern.
This is the bridge I use later between:
– information as abstract state,
– fields and waves in physical space,
– and the emergence of stable structures like electrons and dipoles.


Contact
Phone
jan@proforpic.com
+44 07400512202
© 2025. All rights reserved.


